紫外分光光度法快速测定庆大霉素C1a含量在高通量筛选中的应用
来源: 作者: 发布时间:2019-07-17 10:58 浏览量:312
本期为您推荐华东理工大学生物反应器工程国家重点实验室庄英萍研究团队发表在《中国抗生素杂志》上的一篇文章:紫外分光光度法快速测定庆大霉素C1a含量在高通量筛选中的应用。
文章摘要内容如下:
庆大霉素C1a是庆大霉素单组分之一,是合成依替米星的重要前体物质,依替米星具有抗菌活性高、疗效好、低毒性等优点而备受关注。目前庆大霉素C1a主要通过庆大霉素多组分分离纯化得到。近年来关于成功获得高产菌株的报道很多,但是关于庆大霉素单组分C1a生产菌诱变和高通量筛选的相关文献很少。
本研究为探索庆大霉素C1a含量的快速检测方法,实现诱变菌株的高通量筛选,以紫外分光光度法作为检测庆大霉素C1a含量的手段,对庆大霉素C1a单组分生产菌株进行ARTP、LiCl、微波和ARTP+LiCl诱变,通过高通量筛选获得高产菌株,并在5L发酵罐中对高产稳定性菌株进行验证。结果表明,紫外分光光度法和高效液相色谱法对发酵液中庆大霉素C1a含量进行测定,最大相对误差为3.98%;筛选获得了10株高产菌株,其中AL324菌株与出发菌株相比,摇瓶效价提高了52%;通过稳定性传代实验,获得了4株高产稳定性菌株。5L发酵罐验证实验表明AL324与出发菌株相比效价提高了81.3%。本试验采用紫外分光光度法可以快速检测发酵液中庆大霉素C1a含量,该方法应用于高通量筛选中,获得了高产菌株,筛选结果表明ARTP+LiCl复合诱变方法的正突变率较高,是一种有效的庆大霉素C1a高产菌株诱变方式。
文章精彩内容如下:

图3 分光光度法庆大霉素C1a测定标准曲线

图8 4种不同诱变方式的24孔板初筛结果

图10 高产稳定性菌株验证试验

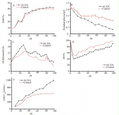
图11 高产菌株AL324与出发菌株过程参数对比图
