胁迫驯化及常压室温等离子体复合诱变选育丁醇高产菌株
来源: 作者: 发布时间:2021-03-24 13:57 浏览量:62
本期为您推荐江西农业大学生物科学与工程学院李汉广副教授研究团队发表在《江西农业大学学报》上的一篇文章:胁迫驯化及常压室温等离子体复合诱变选育丁醇高产菌株。
文章摘要内容如下:
丁醇作为一种新型生物燃料,其发展潜力已远超乙醇。近年来发酵法生产丁醇再次成为生物质能源领域的研究热点。然而,发酵产物(丁醇)对生产菌株具有较强的生物学毒性,另一方面,在混糖发酵过程中,由于葡萄糖阻遏效应,从而导致原料利用率降低,甚至影响丁醇发酵进程。因此,选育发酵性能优良的高产丁醇菌株是增强其产业化的重要途径之一。
本研究首先采用实验室自行设计的“三明治”筛选方法,从自然界中筛选出一株高丁醇占比生产菌株,然后利用丁醇胁迫驯化及常压室温等离子体诱变技术对其进行复合诱变处理,最后,对原始菌株及突变菌株的各项发酵性能进行比较。筛选所得原始菌株L8经16S rDNA 分子生物学鉴定为拜氏梭菌。
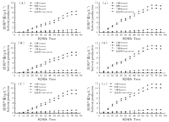
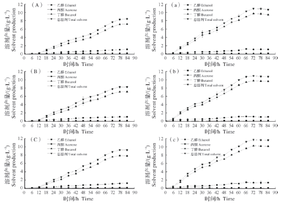
通过复合诱变技术及理性筛选模型获得了一株丁醇高产突变菌株Y10,当以混糖为发酵底物时,可产生10.51g/L丁醇及12.16g/L总溶剂,较原始菌株分别提高了38.6%及33.5%。通过比较原始菌株L8与突变菌株Y10在不同碳源条件下的发酵性能发现,突变菌株Y10在混糖条件下的丁醇生产强度可达到0.14g/(L·h),较原始菌株提高了40%,且其总糖代谢速率达到0.61g/(L·h),较原始菌株提高了24.5%。本研究所采用的复合诱变方法及理性筛选模型可为其它试验或工业生产中快速获得优良生产菌株提供有益的参考。
文章精彩内容如下:

图3 ARTP诱变高产菌株丁醇及总溶剂产量

图4 原始菌株L8与突变菌株Y10糖利用情况

图5 原始菌株L8与突变菌株Y10在不同碳源条件下的溶剂产量
