天木生物ARTP成功助力高产达托霉素玫瑰孢链霉菌的选育
来源: 作者: 发布时间:2023-12-19 17:19 浏览量:55
本期为您推荐浙江大学药物生物技术研究所所长李永泉教授团队发表在Journal of Applied Microbiology上的一篇文章:Daptomycin production enhancement by ARTP mutagenesis and fermentation optimization in Streptomyces roseosporus。 本研究利用ARTP进行突变,采用耐药性与显色性双报告系统成功筛选了一株高产达托霉素菌株。两个报告基因的表达水平可以评价dptEp启动子的强度,dptEp启动子可以刺激达托霉素生物合成中dptE的表达水平,从而产生更多的达托霉素。本文首次在链霉菌中应用双报告系统和新的补料策略,为链霉菌次生代谢物的生物合成提供了新的途径。
达托霉素(Daptomycin)是一种从玫瑰孢链霉菌(Streptomyces rosesporus)培养基中提取的新型环状脂肽抗生素,由立派制药公司于1997年成功开发。其商品名立普妥于2003年获得美国食品和药物管理局(FDA)批准,用于治疗复杂的皮肤感染。2006年,FDA进一步批准其用于治疗革兰氏阳性菌引起的心内膜炎和菌血症。
目前已有多种策略改造玫瑰孢链霉菌来达到高产达托霉素的效果,包括传统诱变,核糖体工程和基因重组技术,由此得到的工程菌在摇瓶水平产量达到324 mg/L。尽管目前基因工程是提高菌株质量的首选方法,但在许多情况下,随机诱变仍然是唯一可行的选择。常压室温等离子体(ARTP)诱变是近年来发展起来的一种有效的诱变技术,具有成本低、操作简便、育种方法有效等优点。利用APTR进行诱变,同时使用报告基因对诱变效率进行筛选的方法尚未在玫瑰孢链霉菌中有过研究。
研究人员将野生菌株L2796中引入耐药性与显色性双报告基因,对其进行ARTP诱变。结果表明,当处理时间为150 s时,致死率为80.20%,此时的阳性突变率为8.18%。对突变后的菌株进行耐卡那霉素浓度检测(图2),野生菌株表现出对卡那霉素的高敏感性(<50 μg/mL),单轮突变菌株L2796-D对卡那霉素的耐药性显著提高(700 μg/mL)。在L2796-D基础上进行第二轮ARTP诱变,产生的L2796-D-M菌株卡那霉素耐药性继续升高(1200 μg/mL),该浓度下的野生菌株与L2796-D生长被完全抑制(图2a),同时串联表达的显色基因结果显示L2796-D-M比单轮突变菌株L2796-D具有更深的颜色表征,表明在2轮突变后dptEp启动子强度显著提升。
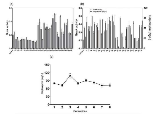
研究人员在40个菌株中发现其中的23个菌株中的GusA蛋白活性提高(图3a),在这23株中有14株的达托霉素产量提高,最高产量达到95 mg/L(图3b),比原生菌株提高了58.33%,将其命名为L2201。在传代8代以后,其达托霉素产量没有出现显著降低,表明了遗传的稳定性(图3c)。在摇瓶水平的基因的表达结果显示,高产菌株L2201的两个报告基因表达量相较于出发菌株均有一定的提升,报告基因的表现与达托霉素生物合成基因的表现是相互关联的(图4)。后期通过培养基配比与补料策略的优化可以提升L2201的产量达到752.67 mg/L。该方法为研究高产达托霉素菌株的筛选提供新的途径。

图1 双报告系统的建立及本文实验流程

图2 突变株卡那霉素抗性试验及不同菌株 GusA活性分析

图3 L2796-D-M的GusA活性,达托霉素产量和突变株L2201的遗传稳定性

图4 摇瓶培养过程中dptE和Neo基因转录水平的变化
论文链接:
https://doi.org/10.1093/jambio/lxad230
