天木生物ARTP成功助力耐受高浓度甘蔗糖蜜酿酒酵母的选育
来源: 作者: 发布时间:2024-05-10 16:25 浏览量:87
本期为您推荐广西科技大学生物与化学工程学院牛福星副教授课题组发表在Microbial Cell Factories上面的文章:Key role of K+ and Ca2+ in high-yield ethanol production by S. Cerevisiae from concentrated sugarcane molasses。本研究利用常压室温等离子体进行诱变,筛选出对不同胁迫因素(高渗透压、高醇、高温、高盐离子以及高浓度甘蔗糖蜜)分别具有鲁棒性能的酿酒酵母菌株。其中由此所选育的对高浓度甘蔗糖蜜具有鲁棒性能的酿酒酵母乙醇合成产量达到目前物理诱变最高水平(111.65 g/L,糖醇转化率达到95.53%)。最后结合酵母的细胞形态、发酵产能以及组学分析,揭示了限制酿酒酵母无法实现高浓度甘蔗糖蜜高浓度乙醇发酵的主要限制性因素是K+和Ca2+同时存在的影响。
生物基乙醇的合成原料有很多,从环保、经济、富民的角度研发是重点。我国是人口大国,每年由于食品添加、工业应用等所消耗的糖量位居世界第三。甘蔗是糖分提炼的主要原材料之一,在提料糖分的同时会产生糖蜜,而且早期研究数据表明产3吨糖的同时可产约1吨糖蜜。糖蜜是一种混合物,成分复杂,直接排放或者用于田间施肥是为浪费且会造成环境污染,而且是为资源利用的不充分。但是利用糖蜜(非粮食)生物资源进行酿酒酵母的乙醇合成,却可以在不断满足人们对乙醇用量需求的同时,助推国家绿色低碳能源发展。酿酒酵母利用糖蜜进行乙醇发酵的工艺已经比较成熟,但是在利用高浓度的糖蜜来生产高浓度的乙醇效率方面却是一个挑战,究其原因便是各种胁迫性因素的影响。但是从科学研究的角度确切的阐述哪种才是限制性的关键影响因素早期还未有研究报道。
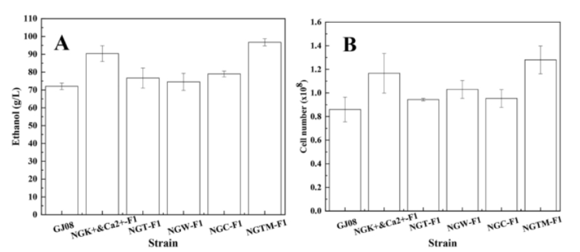
研究人员借助ARTP(室温等离子体)诱变、适应性进化以及高通量的基于三苯基-2H-四唑氯化铵(TTC)及前体物丙酮酸(或丙酮酸自由基离子)与Fe3+发生络合反应呈现黄色的双重高通量筛选方法(Py-Fe3+)获取了分别对高浓度甘蔗糖蜜(总糖浓度达到300 g/L)以及蔗糖添加模型下的高温(37℃)、高醇(10%)、高渗透压(400 g/L可发酵总糖)以及高浓度K+(15 g/L)、Ca2+(8 g/L)、K+&Ca2+(15 g/L &8 g/L)发酵环境下的七株鲁棒型酿酒酵母菌株(图1、表1)。通过各自鲁棒型菌株在高浓度甘蔗糖蜜环境下细胞形态比较(图2),乙醇合成的产率以及细胞数量(图3、图4)、鲁棒型菌株比较基因组学、比较转录组学GO、KEGG分析研究,得出K+、Ca2+同时存在才是限制酿酒酵母高浓度甘蔗糖蜜乙醇发酵的主要因素。

图1 实验流程
表1 在相同发酵条件下与野生型J108相比产量差距


图2 在250 g/L糖蜜发酵不同菌株的细胞形态
A:NGCa2+-F1; B:NGK+-F1; C:NGK+&Ca2+-F1; D:NGTM-F1

图3 不同菌株的乙醇合成率及细胞数

图4.在5L发酵罐体系中利用250 g/L甘蔗糖蜜发酵, 菌株NGTM-F1的乙醇产量达到111.65 g/L
总结:甘蔗糖蜜对细胞的影响不仅仅局限于高浓度发酵,在低浓度情况下同样会对细胞的生长造成一定影响。该项目的研究是为首次从科学研究的角度准确阐述了限制酿酒酵母无法实现高浓度甘蔗糖蜜高浓度乙醇发酵的主要限制因素,其结果对于以甘蔗糖蜜作为底物的生物合成具有重要指导作用。
文章链接:https://doi.org/10.1186/s12934-024-02401-5
