通过微液滴辅助适应性进化快速实现氧化葡糖杆菌对高D-山梨醇浓度和高温的耐受性
来源: 作者: 发布时间:2023-06-12 14:06 浏览量:41
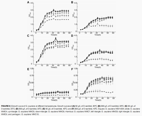
本期为您推荐江南大学周景文教授研究团队发表在《Frontiers in Bioengineering and Biotechnology》(IF=6.064)上的一篇文章:Rapid Enabling of Gluconobacter oxydans Resistance to High D-Sorbitol Concentration and High Temperature by Microdroplet-Aided Adaptive Evolution. 该研究使用液滴微流控技术(Microbial Microdroplet Culture system,MMC)对Gluconobacter oxydans WSH-004进行适应性进化,经过约90d的驯化得到最佳菌株MMC10,该菌株对高浓度底物和高温的耐受性显著提高,能在40°C下、含300 g/L D-山梨醇的培养基中生长[1]。
氧化葡糖杆菌能够合成L-山梨糖,但其高浓度底物D-山梨醇会对发酵过程造成严重抑制。补料分批发酵可以缓解底物抑制,但会增加生产成本和污染风险。因此需要获得一种能耐受更高D-山梨醇浓度的氧化葡糖杆菌,以缓解底物的抑制作用。为直接提高微生物对不利环境胁迫的耐受性,适应性进化是在特定环境条件下进化微生物的有效方法,与传统的自适应性进化相比,MMC的应用可以减少时间和,简化实验过程,提高效率。
本研究旨在利用MMC对Gluconobacter oxydans WSH-004进行适应性进化,以提高其对高浓度底物和高温的耐受性。经过约90d的进化实验后,获得了多个适应性进化的菌株,即Gluconobacter oxydans MMC1-MMC10。结果表明,最佳菌株MMC10在40°C下、含300 g/L D-山梨醇的培养基中生长。比较基因组分析显示,与耐受性增加相关的遗传变化主要发生在蛋白质翻译基因中。这项研究表明,液滴微流控技术是在短时间内改善未阐明基因型表型的有效工具。



[1] Liu L, Zeng W, Yu S, Li J and Zhou J (2021) Rapid Enabling of Gluconobacter oxydans Resistance to High D-Sorbitol Concentration and High Temperature by MicrodropletAided Adaptive Evolution. Front. Bioeng. Biotechnol. 9:731247.
doi: 10.3389/fbioe.2021.731247
