红白锦鲤ARTP诱变试验总结
来源: 作者: 发布时间:2021-06-30 21:39 浏览量:173
本期为您推荐河南省水产科学研究院朱文锦研究员团队发表在《河南水产》上的一篇文章:红白锦鲤ARTP诱变试验总结。
文章摘要内容如下:
红白锦鲤(Cyprinus carpiohaematopterus)是锦鲤中的基础品种,社会知名度和认可度较高。红白锦鲤的颜色较简单,诱变对颜色的影响较易识别。常压室温等离子体(Atmospheric and Room Temperature Plasma)简称ARTP,指能够在大气压下产生温度在25~40℃之间、具有高活性粒子浓度的等离子体射流,通过照射使生物细胞壁、细胞膜的结构及通透性发生改变,进一步引起核酸损伤,最终产生可稳定遗传的变异体。目前,ARTP诱变技术已成功应用于包括细菌、放线菌、真菌、酵母、微藻等在内的六十余种微生物的诱变育种,在微生物进化研究和微生物工业生产方面发挥着巨大作用;但由于不同生物体生长和结构的差异,该技术在植物、动物体上的应用难度较大,研究相对较少。
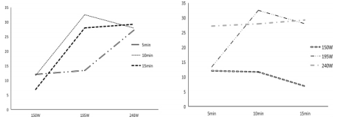
本试验将ARTP技术应用于红白锦鲤育种,通过设置不同水平的照射时间和照射强度,对红白锦鲤受精卵进行处理,与对照组在相同养殖条件下进行阶段性培育,统计分析孵化率、成活率和生长情况差异,探索锦鲤诱变育种的可行性。
通过此次受精卵ARTP诱变照射试验的实施,课题组认为通过ARTP进行观赏鱼诱变育种是可行的。但是有别于微生物的ARTP诱变育种,动物或植物的常温常压等离子诱变更多的是关注试验过程对个体的影响,其不确定因素更多,需要进一步探索诱变研究的规律和操作规范。
文章精彩内容如下:
表2 孵化情况统计


图2 照射时间和照射强度对成活率的影响

图4 前三个月鱼苗体长情况
