青枯雷尔氏菌拮抗菌黑曲霉xj的ARTP诱变选育
来源: 作者:天木生物 发布时间:2022-01-11 15:14 浏览量:39
本期为您推荐贵州大学李祝教授研究团队发表在知名期刊《生物技术》上的一篇文章:青枯雷尔氏菌拮抗菌黑曲霉xj的ARTP诱变选育。
文章摘要内容如下:
青枯雷尔氏菌是青枯病的主要致病菌,可致番茄、花生、芝麻、茄子和辣椒等400 多种植株在不同时期和部位发病。目前青枯病主要以化学防治为主,但长期使用化学药剂会造成一定环境污染并易诱发病原菌的抗药性。因此,开发作用机制独特的新型生物防治药剂成为当今青枯病病害防治的热点之一。近年来,有研究发现复合菌剂能提高叶片 SOD、CAT和 PAL的酶活性,防治效果显著。而黑曲霉常作生物防治中的拮抗菌株,其对根癌农杆菌、青枯雷尔氏菌和桔青霉等均具有抑制作用。其广谱抑菌性和安全性,常被作为优良生防菌应用在农业生产上。但随着时间推移,菌株拮抗能力下降明显,存在退化和遗传性状不稳定等问题,物理诱变法筛选获得抑菌活性较强的正突变株是提高原始菌株拮抗能力的有效方法。因此,为了在该菌株现有抑菌活性基础上提高菌株抑菌活性并提高菌株遗传稳定性,本研究使用常压室温等离子体(ARTP)对黑曲霉xj进行诱变研究。
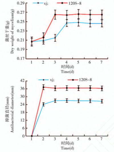
在本研究中,ARTP诱变黑曲霉xj 120 s时,我们筛选得到一株遗传稳定且具有高效拮抗能力的菌株120S-8,菌株120S-8连续传代14代变异系数比出发菌小且抑菌活性无明显下降,菌株120S-8抑菌圈直径(36.43 mm±1.41 mm)相比出发菌抑菌圈直径(27.85 mm±2.22 mm)增加30.8%,生长稳定期(3 d)较出发菌株(4 d)提前1d到达,最小抑菌浓度(7.50 g/L)较出发菌株(15g/L)低50%,且抑菌谱更广。常压室温等离子体诱变技术处理黑曲霉xj后,菌株抑菌活性在现有基础上提高了50%,同时遗传性稳定性增强了13.5%。为研发黑曲霉应用于青枯病的生物防治提供菌株资源。
文章精彩内容如下:

图1 黑曲霉诱变致死率和正突变率

图2 黑曲霉xj与120S-8生长曲线
