弱絮凝性下面啤酒酵母菌株的选育
来源: 作者: 发布时间:2022-02-10 11:07 浏览量:28
本期为您推荐天津科技大学陈叶福教授研究团队发表在知名期刊《食品与发酵工业》上的一篇文章:弱絮凝性下面啤酒酵母菌株的选育。
文章摘要内容如下:
在啤酒工业中,啤酒酵母的絮凝特性是决定啤酒高质量生产的重要因素之一。在啤酒主发酵结束前强絮凝性酵母对酵母泥分离回用有利,但若酵母提前絮凝,会引起发酵迟缓或停滞,最终嫩啤酒含糖量高,风味不理想。此外,絮凝太完全也会降低嫩啤酒中的酵母数,影响二次发酵等后熟进程,为此选育弱絮凝性啤酒酵母菌株以达到延长酵母增殖稳定期,降低啤酒中乙醛含量,提升风味质量等目的。目前酵母育种途径多样,相比于传统物理化学诱变选育等方法,常压室温等离子体诱变(atmospheric and room temperature plasma,ARTP)以操作简便,安全性高等优势在微生物遗传与育种领域上备受青睐。
本研究以啤酒酵母 L-1 为出发菌株,对其进行 ARTP 诱变,并结合优化后的絮凝能力检测方法对诱变菌株进行初筛与二轮复筛,获得了 3 株絮凝能力减弱且其他发酵性能较优、遗传性能较稳定的菌株 179、293、361,其絮凝能力分别降低了6.67%、6.67%、5.56%,死亡率分别降低了 31.21%、34.57%、16.93%,对应的发酵液中乙醛含量分别降低了19.53%、19.17%、15.83%,同时其消耗碳源、α-氨基氮、产酒精能力等指标均有所提高,主要高级醇含量无较大变化。这些菌株的获得在啤酒工业生产中具有一定的实际应用潜力。
文章精彩内容如下:

图1 诱变菌株死亡率的第一轮复筛结果

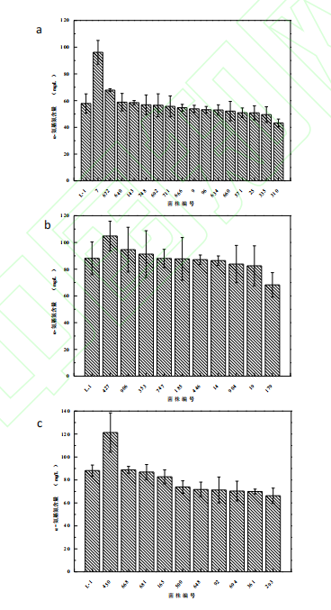
图2 第二轮复筛 α-氨基氮含量测定结果

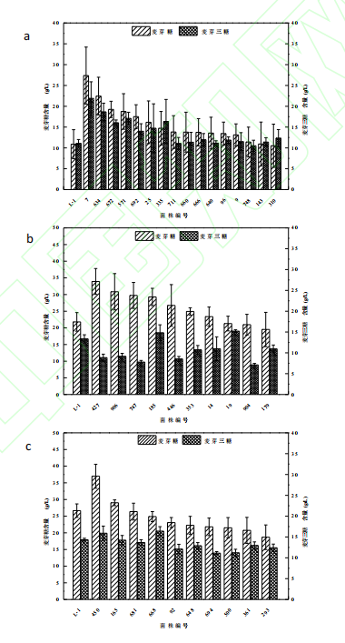
图3 第二轮复筛麦芽糖与麦芽三糖含量测定结果
