微液滴适应性进化强化大肠杆菌耐受高浓度L-山梨糖
来源: 作者: 发布时间:2021-02-03 09:52 浏览量:133
本期为您推荐江南大学工业生物技术教育部重点实验室周景文教授研究团队发表在《食品与发酵工业》上的一篇文章:微液滴适应性进化强化大肠杆菌耐受高浓度L-山梨糖。
文章摘要内容如下:
维生素C是人体维持正常生命活动必须的维生素,是一种有效的抗氧化剂。维生素C生产通常先利用微生物发酵合成2-酮基-L-古龙酸(2-keto-L-gulonic acid,2-KLG),再将2-KLG酯化生成维生素C,该过程主要通过三菌二步发酵法实现。随着发酵工业的不断发展,三菌二步发酵法存在的缺陷日益凸显,因此构建一菌一步发酵法可以从根源上解决三菌二步发酵法中存在的问题。
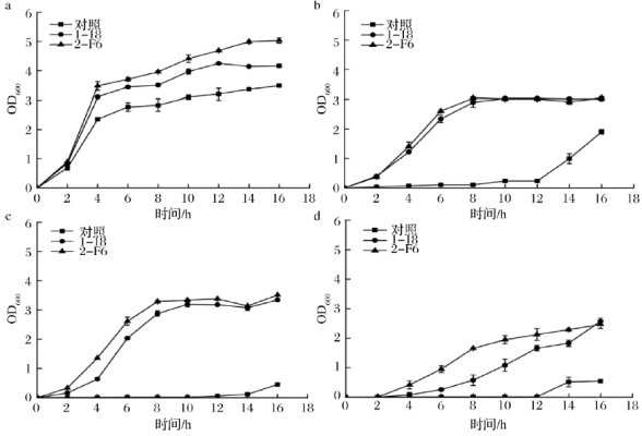
本研究前期构建了1株组成型表达山梨糖脱氢酶(sorbose dehydrogenase,SDH)的大肠杆菌工程菌,该菌株能利用L-山梨糖生产维生素C前体2-KLG,但对底物L-山梨糖的耐受性较差。为解决这一问题,对该菌株进行适应性进化,并强化了进化菌株发酵生产2-KLG的能力。首先,应用基于微流控技术的全自动高通量微生物液滴培养系统,将出发菌株在不同浓度的L-山梨糖培养基中生长、传代、获得能够耐受高浓度L-山梨糖的进化菌株。在摇瓶上进一步验证,最终获得了1株能耐受高浓度L-山梨糖的进化菌株2-F6。然后在2-F6中共表达了能促进2-KLG积累的山梨酮脱氢酶(sorbosone dehydrogenase,SNDH),并在摇瓶水平上对接种量、发酵温度、SNDH诱导时间、IPTG诱导浓度以及L-山梨糖添加量进行了优化,在最优条件下,2-KLG的产量达6.05g/L。最终将摇瓶发酵条件放大至5L发酵罐后,2-KLG的产量为5.70g/L。研究结果为一菌一步发酵法生产维生素C前体2-KLG提供了参考。
近年来,通过适应性进化策略显著提高了工业微生物的底物耐受性以及生产性能。由清华大学化工系张翀副教授研究团队开发的一种基于微流控技术的全自动高通量微生物液滴培养系统(microbial microdroplet culture system,MMC),能够实时在线检测微生物的生长(OD),定时定量更换新鲜培养基或添加化学因子,并完成微生物继代培养,从而实现菌株的进化和筛选。基于此,本研究应用MMC对出发菌株进行不同浓度梯度L-山梨糖的适应性进化,提高出发菌株对L-山梨糖的耐受性,并考察其发酵生产2-KLG的性能。结果表明进化菌株具有较好的积累2-KLG的能力,该研究为一菌一步发酵法生产维生素C前体2-KLG提供了参考。
文章精彩内容如下:

图1 菌株耐高浓度L-山梨糖的适应性进化结果

图2 进化菌株在摇瓶中的生长状况

图5 5L罐发酵过程曲线
